Enhancing Plasmonic Superconductivity in Layered Materials via Dynamical Coulomb Engineering
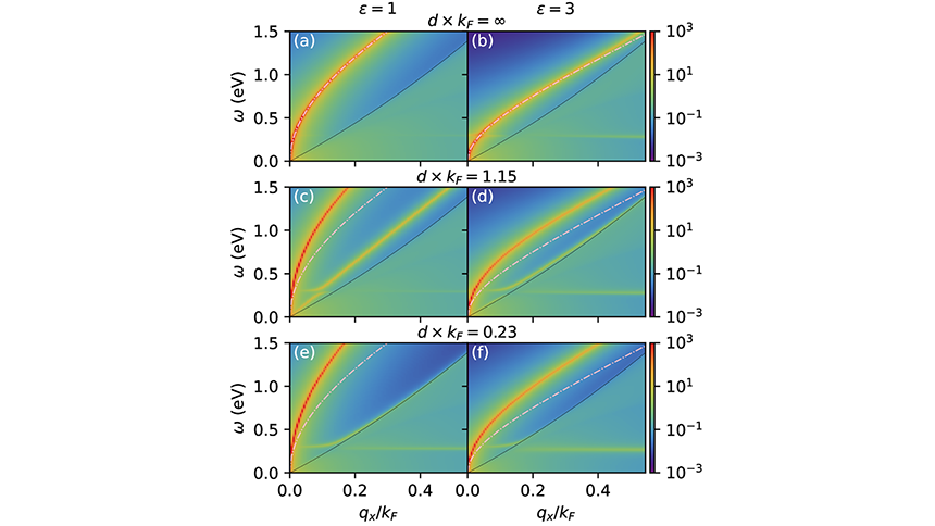
Conventional Coulomb engineering, through controlled manipulation of the environment, offers an effective route to tune the correlation properties of atomically thin van der Waals materials via static screening. Here we present tunable dynamical screening as a method for precisely tailoring bosonic modes to optimize many-body properties. We show that “bosonic engineering” of plasmon modes can be used to enhance plasmon-induced superconducting critical temperatures of layered superconductors in metallic environments by up to an order of magnitude, due to the formation of interlayer hybridized plasmon modes with enhanced superconducting pairing strength. We determine optimal properties of the screening environment to maximize critical temperatures. We show how bosonic engineering can aid the search for experimental verification of plasmon mediated superconductivity.
Read the article by Veld et al. on arXiv.
