Superconductivity in RbH12 at low pressures: an ab initio study
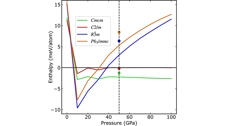
High-pressure polyhydrides are leading contenders for room temperature superconductivity. The next frontier lies in stabilizing them at ambient pressure, which would allow their practical applications. In this first-principles computational study, we investigate the potential for record-low pressure stabilization of binary superhydrides within the RbH system including lattice quantum anharmonic effects in the calculations. %Within the pressure range of 0 to 100 GPa, we identify five competing phases. We identify five competing phases for the pressure range between 0 and 100 GPa. Incorporating anharmonic and quantum effects on ion dynamics, we find the and phases to be the most probable, potentially metastable even at pressures as low as 10 GPa. Notably, all phases exhibit metallic properties, with critical temperatures between 50 and 100 K within the pressure range they are dynamically stable. These findings have the potential to inspire future experimental exploration of high-temperature superconductivity at low pressures in Rb-H binary compounds.
Read the whole article by Dangic et al. on arXiv.
